par Frans BELS (Péruwelz)

Une source très sérieuse, puisque officielle, nous renseigne d'une façon très précise sur ces mesures en usage à cette période de notre histoire.
Il s'agit d'un livre intitulé « Tarifs métriques de tous les anciens Poids et Mesures du département de Jemmape et de ceux des départements de Sambre et Meuse, de la Dyle et de l'Escaut »
Son auteur, J-B Renard, un inspecteur des contributions du département de Jemmape a publié à Mons en 1806, avec l'approbation de son préfet, cet « ouvrage particulièrement destiné aux opérations du cadastre ».

Faut-il rappeler que c'est sous le régime français que fut introduit dans notre pays le système métrique décimal ?
Déjà lors de la
préparation des États Généraux de 1789, en prélude à la Révolution française, «les cahiers de doléances » élaborés jusque dans les paroisses de la France profonde, réclamaient une uniformisation des mesures de longueurs, de superficies, de capacités et de poids.
La multiplicité de ces mesures, leur diversité, leur dispersion géographique souvent insolite et difficilement explicable à première vue faisaient apparaître la nécessité de l'introduction d'un système nouveau, applicable partout et à tous, bien dans l'esprit du «siècle des lumières».
Décidée par la Constituante, cette réforme a connu quelques vicissitudes au cours des changements institutionnels que la France a vécus depuis la chute de la royauté jusqu'à l'empire.
Bonaparte, devenu 1er consul puis empereur, dispose enfin de l'autorité nécessaire pour mettre en application certaines grandes idées de la Révolution, basées sur le principe d'égalité devant la loi. Et parmi celles-ci, le code civil, le cadastre de la France, l'uniformité des poids et mesures ...

Par sa circulaire du 18 pluviôse An 13 (25 février 1803), son ministre de l'Intérieur fait part à l' Administration de la volonté de Napoléon de « maintenir dans son intégrité le nouveau système des poids et mesures sur tous les points de l'empire ». Et de ce fait, dans notre pays occupé par les Français.
Pour justifier la nécessité et l'application de ce système, J-B Renard, note dans la préface de son ouvrage: « En effet, dans ce département (de Jemmape ) formé des anciens pays ou comtés de Liège, de Namur, le Brabant, du Tournaisis et du Hainaut, on distingue 20 mesures linéaires ou de longueur, 90 verges différentes composées de 7 sortes de pieds , formant 274 mesures agraires connues sous les dénominations de journels , huitelées, mencaudées et bonniers; 22 rasières, hotteaux, setiers, vasseaux pour les grains et les matières sèches ; 32 pots pour les liquides et 13 livres pour les poids».

Ainsi donc, sous l'Ancien Régime, les mesures linéaires et les mesures agraires différaient souvent d'un village à l'autre; il arrivait aussi que dans un même village, elles variaient pour des terres appartenant à des propriétaires étrangers à la localité. Quant aux mesures de capacités et de poids, elles variaient de ville en ville.

En l'An 12 (1803), un recensement fut organisé par l'administration française pour déterminer les mesures en usage dans chaque localité du département et les transposer en mesures métriques.Chaque village fut divisé en sections ; les propriétaires (administrations ou particuliers) furent entendus ; des assemblées furent également tenues au niveau des cantons en vertu de l' arrêté du préfet en date du 4 frimaire An 12 (26 novembre 1803).

On doit convenir que les difficultés ne furent pas ménagées à la commission compétente. Ce furent les mesures agraires qui causèrent le plus de problèmes. " Il est des communes - dit aussi J-B Renard - qui ont varié dans les mesures agraires d'après la Charte du Hainaut, le travail de la commission des poids et mesures et l'Annuaire An II".
Nous évoquerons plus loin les divergences que suscitèrent ces mesures dans certaines localités de notre entité.

Les anciennes mesures de longueurs.

1. Les principales mesures envisagées ici sont la toise et la lieue comme mesures itinéraires, le pied et la verge itinéraire employés surtout dans les mesures agraires, l'aune utilisée par les marchands.

2. Extension géographique des pieds de Hainaut et de Tournai.
La base des mesures itinéraires, c'est le pied.
Deux mesures se partagent le Hainaut occidental
- le pied de Hainaut (0,29343 m) à l'est et au centre de cette région
- le pied de Tournai (0,297769 m) à l'ouest.
Les localités suivantes constituent la frange occidentale d'utilisation du pied de Hainaut : Hérinnes, Obigies, Mont-Saint-Aubert, Mourcourt, Melles, Quartes, Maulde, Barry , Vezon, Briffoeil, Brasménil et Callenelle.
Dans l'aire d'extension du pied de Tournai existaient trois enclaves où s'utilisaient le pied de Hainaut (Laplaigne, Wez-Velvain et Willemeau) et par conséquent les mesures itinéraires et agraires correspondantes (verges itinéraires, verges carrées, bonniers de 400 verges).
Par contre, trois îlots d'utilisation du pied de Tournai se rencontraient dans l'aire d'extension du pied de Hainaut (Forest-lez-Frasnes, Basècles et Bernissart).

3. Valeur métrique des différentes mesures linéaires.
Mesures de Hainaut
- la lieue de Hainaut de 1000 verges de 20 pieds était de 5868,5 m.
- la toise de 6 pieds mesurait 1,760 m.
- le pied linéaire valait 0,29343 m et se divisait en 10 pouces.
- le pouce (0,029... m) se divisait en 10 lignes.
- la ligne (0,0029.. m) se divisait en 10 points.
- le point (0,00029... m) près de 3/10 de mm.

Mesures de Tournai
- la toise de 6 pieds mesurait 1,786 m.
- le pied linéaire valait 0,297769 m et se divisait en 11 pouces - le pouce (0,027... m) se divisait en 12 lignes.
- la ligne (0,0022... m) se divisait en 12 points.
- le point (0,00018... m) ou à peine 2/10 de mm.
- la lieue: J-B Renard ne cite pas la lieue comme mesure de Tournai.

Comparativement à celle du Hainaut de 5868,5 m et calculée, sur les mêmes bases, en pieds de Tournai, elle vaudrait 5955,38 m.
Quant à la lieue de poste de France de 2000 toises, elle faisait 3988,07 m.
La lieue de France de 25 au degré (de longitude) elle, mesurait 4444,44 m.(111,111 km : 25) = 4,44444 km ou 4444,44 rn.
L'aune, ancienne mesure des marchands, se subdivisait partout de la même façon en Hainaut et à Tournai : en demis, quarts, huitièmes, seizièmes ou tailles, trente-deuxièmes ou demi-tailles.
Valeur de l'aune
- à Ath et à Tournai: 0.73824 m
- à Péruwelz et à Leuze : 0.74624 m.

Les anciennes mesures agraires.

1. La multiplicité de ces mesures apparait au niveau de notre entité. Sur 9 localités utilisant le pied de Hainaut, la verge linéaire se mesure comme suit :
20 pieds à Péruwelz, Bon-Secours et Braffe
19 pieds 7 pouces à Brasménil
19 pieds 6 pouces à Bury
19 pieds 1/2 à Roucourt et Baugnies
19 pieds 2 pouces à Wiers
18 pieds à Callenelle et Briffoeil
Pour les deux autres localités mesurant en pieds de Tournai, Wasmes utilise la verge de 19 pieds 6 pouces et Audemetz, celle de 18 pieds.

2. Dans l'entité voisine, la plus petite verge linéaire était en usage à Ramegnies près de Thumaide : 15 pieds 2 pouces de Hainaut soit 4,460 m donnant une verge carrée de 19,82 m2.
La verge de Péruwelz était la plus grande de notre entité avec 20 pieds soit 5,868 m pour une verge carrée de 34,44 m2.
On constate entre les localités de Péruwelz et Ramegnies, géographiquement proches, une différence de 14,52 m2 sur la mesure d'une verge carrée.
Dans l'entité de Péruwelz, l'amplitude était moins prononcée puisque la plus petite verge, celle de Callenelle comprenait 18 pieds soit 5,281 m pour une superficie de 27,89 m2.
Au niveau de l'entité actuelle, la différence n'atteint plus que 6,55 m2.
Jusqu'à présent, il est encore mal aisé de discerner les causes de l'emploi de telle ou telle mesure agraire. Les abbayes n'auraient-elles pas influencé l'utilisation des mesures du sol vu le nombre important et la dissémination de leurs biens fonciers ?
Comme on le voit, il reste dans ce domaine beaucoup de travail pour les chercheurs.

3. Difficultés rencontrées pour la détermination des mesures agraires dans certaines localités de l'entité de Péruwelz.
a) A Péruwelz, la Commission et la Charte font mention d'une verge de 19 pieds 2 pouces, mais le recensement fait apparaître l' usage d'une verge de 20 pieds qui a été retenue par l' administration départementale française.
b) A Roucourt, le recensement constate l'utilisation d'une verge de 19 pieds 1/2 qui a été retenue alors que, pour la Commission, elle est de 19 pieds.
Pour l'enclavement d'Arondeau, elle était de 20 pieds et pour les jardins, cette mesure n'était que de 17 pieds 1/2.
c) A Wiers, l'administration retient la verge de 19 pieds 2 pouces dont l'usage est constaté au recensement, la Commission ayant fait mention d'une verge de 19 pieds 6 pouces.« Pour les terres du ci-devant seigneur - note J- B Renard- elle était de 20 pieds".
Dans ces trois localités, rappelons que l'on mesurait en pieds de Hainaut comme dans les autres localités de l'entité, sauf à Wasmes et à Audemetz.
d) Les localités de Wasmes, Audemetz et Briffreil formaient une seule et même commune avant la fusion de communes de 1977 ; elles figuraient comme deux localités séparées sous le régime français. Wasmes et Audemetz d'une part ; Briffoeil d'autre part.
Briffoeil, comme Baugnies, mesure en pieds de Hainaut et calque ses autres mesures sur Leuze.
Wasmes et Audemetz mesurent en pieds de Tournai et utilisent également pour leurs autres mesures, celles de Tournai.
Au moment du recensement, Péruwelz et Bon-Secours ne forment qu'une seule et même localité.

Les anciennes mesures de capacités.

Remarques générales.
1. Ses mesures de capacités se répartissent en deux grandes familles :
- les mesures pour les matières sèches et les grains;
- les mesures pour les liquides
Les matières sèches, le charbon, les cendres et les grains se mesuraient en capacités et non en poids.
2. Il s'agit de mesures régionales correspondant probablement à l'hinterland d'un marché urbain. Ajoutons que selon l'importance de celui-ci, les mesures se multipliaient et se spécialisaient ; nous le verrons pour celles de Tournai.
3. Il faut souligner, dès le départ, que dans la zone du pied de Tournai, on ne rencontre pratiquement l'usage d'aucune mesure de capacités ou de poids autre que celle de Tournai.
4. La zone d'extension des mesures de capacités et poids de Tournai débordait largement dans l'aire d'extension du pied de Hainaut et notamment dans le nord-est du Tournaisis de Hérinnes à Anvaing. Elle débordait aussi au sud-est sur les localités de Vezon, Wasmes-Audemetz, Callenelle, Brasménil et Wiers.
5. Dans le centre et l'est du Hainaut occidental existaient plusieurs centres économiques comme Ath, Leuze, Péruwelz, Lessines, centres urbains qui possédaient leurs propres mesures de capacités et de poids, mais dont les forces d'attraction étaient inégales.
6. Dans notre entité, Brasménil, Callenelle, Wiers, Wasmes-Audemetz utilisaient les mesures de Tournai ; Baugnies, Braffe et Briffoeil, celles de Leuze ; Péruwelz ( + Bon-Secours), Bury et Roucourt celles de Péruwelz.

Mesures de capacités pour les matières sèches et les grains.
Valeur en mesure métrique des mesures anciennes.

1. La rasière de Tournai de :
- 8 hotteaux pour le froment,le seigle et le méteil : 116,137 litres
1 hotteau = 14,517 1itres
- 13 hotteaux pour l'avoine, l'orge et l'escourgeon : 118,723 litres
1 hotteau = 14,5171 1itres
- 8 hotteaux pour le charbon de terre et les grains sur l'eau : 117,554 litres
1 hotteau = l4,6943 litres
- 8 hotteaux pour le sel et la chaux : 124,435 1itres
1 hotteau = 15,5543 1itres
- pour le charbon de bois : 212,864 1itres
Le hotteau de Tournai pour les fèves : 2,940 litres
Le hotteau de Tournai pour les moules: 9,744 litres

2. La rasière de Péruwelz de :
- 4 hotteaux pour toute espèce de grains: 69,1532 litres
1 hotteau = 17,2883 litres

3. La rasière de Leuze de :
- 8 hotteaux pour le froment et le seigle: 126,9232 litres
1 hotteau = 15,8654 litres
- 12 hotteaux pour l'avoine, l'orge et l'escourgeon : 190,3848 litres
1 hotteau = 15,8654 litres

Mesures de capacités pour les liquides

1. Mesures de Tournai :
- le pot de Tournai à deux pintes
pour la bière : 2,406 litres
1 pinte = 4 potées : 1,20308 1
- la canette de Tournai pour le vin : 0,788 litre
- la livre de Tournai pour l'huile : 0,4757 litre

2. Mesures de Péruwelz :
- le pot de Péruwelz à 2 pintes
pour la bière et le vin : 1,851 litre
1 pinte = 0, 9254 litre
- la pinte de Péruwelz pour l'huile fine : 0,4548 litre

3. Mesures de Leuze, d'Ath :
- le pot de Leuze, d'Ath de 2 pintes
pour la bière et le vin : 2,1165 litres
1 pinte = 1,058 litre
- le pot de Leuze, d'Ath de 2 pintes
pour l'huile à brûler : 2, 249 litres
1 pinte = 1,124 litre
Les anciens poids.

1. On se rapportera aux remarques générales relatives aux mesures de capacités et figurant dans un précédent chapitre. Certains points soulevés concernent aussi les poids.

2. Mesuraient en poids d'Ath-Enghien-Péruwelz les localités de Péruwelz-Bon-Secours, Roucourt, Bury et Braffe; en poids de Leuze, Baugnies et Briffreil; en poids de Tournai, Brasménil, Callenelle, Wiers et Wasmes-Audemetz.

3. Voyons d'abord les mesures de Tournai, plus diversifiées, plus spécialisées que celles des autres villes de notre région. Selon leur usage, on distinguait plusieurs familles de poids:
a) le poids mercier, celui des marchands.
La livre de Tournai à 16 onces. L'once se subdivisait en demis, quarts, huitièmes, seizièmes, et trente- deuxièmes ; le trente-deuxième en 20 grains.
b) le poids des orfèvres.
La livre d'orfèvrerie de Tournai valait 2 marcs.
Le marc = 8 onces ; l'once = 20 esterlins ; l'esterlin = 4 ferlins ; le ferlin 8 grains.
c) le poids des pharmaciens.
La livre de pharmacie de Tournai valait 2 marcs ; le marc = 8 onces ; l'once = 7 gros ; le gros se divisait en 3 scrupules ou deniers ; le denier en 24 grains.

4. Comparaison des poids «mercier» qui, dans chaque centre se subdivisaient de la même manière.
La livre de Tournai.
1 1ivre : 0,430.637 kg
1 once ou 1/16 de livre : 0,026.914 kg
1/32 d'once : 0, 000.841 kg
1 grain ou 1/20 du précédent: 0,000.042 kg

La livre d'Ath, Enghien, Péruwelz.
1 livre : 0,469.045 kg
1 once ou 1/16 de livre : 0,029.315 kg
1/32 d'once: 0,000.916 kg
1 grain ou 1/20 du précédent: 0,000.046 kg
1 kg = 2 livres, 2 onces, 3/32, 11 grains 59/60.
(mesure métrique traduite en mesures anciennes)

La livre de Leuze.
1 livre : 0,463.841 kg
1 once ou 1/16 de livre : 0,028.990 kg
1/32 d'once : 0,000.906 kg
1 grain ou 1/20 du précédent : 0,000.045 kg

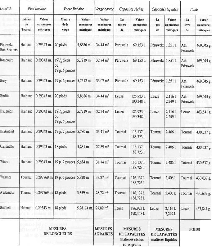
Le tableau synoptique ci-après reprend les principales mesures usitées avec leur transposition en valeurs métriques.
Les mesures linéaires (2) et (3) et agraires (4) forment un tout: la verge carrée est une mesure de surface ; le côté de ce carré s'appelle verge linéaire qui, suivant la localité, mesurait un certain nombre de pieds et de pouces.
Les mesures de capacités se répartissaient en mesures pour les matières sèches et les grains (5) et en mesures pour les liquides (6). Les poids figurent dans la colonne (7).
Certaines mesures ne figurent pas dans ce tableau, elles ont été explicitées à l'un ou l'autre des chapitres précédents.

Quelques réflexions ...

1. On comprend mieux, après la lecture des pages précédentes, la méfiance du peuple à l'encontre de ces mesures anciennes dont les mêmes dénominations ne recouvraient pas nécessairement les mêmes valeurs.

2. La simplification apportée par le système décimal des nouvelles mesures, le fait que ces nouvelles unités se déduisaient de l'une d'entre elles et l'uniformisation de ces mesures allaient en faire un des facteurs de sa diffusion universelle bien dans l'esprit de la Révolution. « Pour convenir à tous les temps et à tous les peuples » c'est le but atteint au siècle qui suivit par les réformateurs de cette fin du XVIIIème siècle.

3. L'introduction du système décimal en France comme dans notre pays ne fit pas du jour au lendemain disparaître l'emploi des anciennes mesures.

4. Les dénominations d'unités du système métrique apparurent comme des appellations savantes, scientifiques auxquelles le pouvoir essaya de donner une correspondance dans les anciennes mesures. Ainsi le litre reçut la dénomination de pinte et le kilogramme, celle de livre.

5. Certaines dénominations anciennes ont cependant survécu dans nos campagnes où il y a quelques décennies on mesurait encore parfois les champs en verges (carrées), journels ou bonniers.

Tableau des mesures.

Classement de sites - Inscrivez le vôtre!